Sample Data: 2003 US Life Table

U.S. life table 2003

Originator: Elizabeth Arias and the Division of Vital Statistics

(8 columns, 101 rows)

Examples

Basic Examples

Retrieve the ResourceObject:

In[1]:=
ResourceObject["Sample Data: 2003 US Life Table"]
Out[1]=

View the data:

In[2]:=
ResourceData["Sample Data: 2003 US Life Table"]
Out[2]=

Visualization

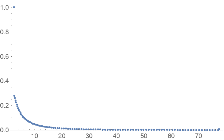
Generate a plot of hazard probability by life expectation:

In[3]:=
ListPlot[ResourceData["Sample Data: 2003 US Life Table"][
  All, {"LifeExpectation", "HazardProbability"}], PlotRange -> All]
Out[3]=

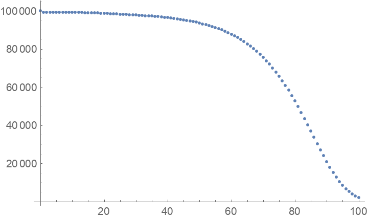
Generate a plot of the number of survivors by age (lower) group:

In[4]:=
ListPlot[ResourceData["Sample Data: 2003 US Life Table"][
  All, {"AgeLower", "Survivors"}], PlotRange -> All]
Out[4]=

Wolfram Research, "Sample Data: 2003 US Life Table" from the Wolfram Data Repository (2016)   https://doi.org/10.24097/wolfram.72579.data

Data Resource History

Source Metadata

Data Downloads

Publisher Information